#!/usr/bin/env python # coding: utf-8 # In[1]: from IPython.display import Image Image('../../Python_probability_statistics_machine_learning_2E.png',width=200) # So far, we have considered parametric methods that reduce inference # or # prediction to parameter-fitting. However, for these to work, we had to # assume a # specific functional form for the unknown probability distribution of # the data. # Nonparametric methods eliminate the need to assume a specific # functional form by # generalizing to classes of functions. # # ## Kernel Density Estimation # # We have # already made heavy use of this method with the histogram, which is a # special # case of kernel density estimation. The histogram can be considered the # crudest # and most useful nonparametric method, that estimates the underlying # probability # distribution of the data. # # To be formal and place the histogram on the same # footing as our earlier # estimations, suppose that $\mathscr{X}=[0,1]^d$ is the # $d$ dimensional unit # cube and that $h$ is the *bandwidth* or size of a *bin* or # sub-cube. Then, # there are $N\approx(1/h)^d$ such bins, each with volume $h^d$, # $\lbrace # B_1,B_2,\ldots,B_N \rbrace$. With all this in place, we can write the # histogram # has a probability density estimator of the form, # # $$ # \hat{p}_h(x) = \sum_{k=1}^N \frac{\hat{\theta}_k}{h} I(x\in B_k) # $$ # # where # # $$ # \hat{\theta}_k=\frac{1}{n} \sum_{j=1}^n I(X_j\in B_k) # $$ # # is the fraction of data points ($X_k$) in each bin, $B_k$. We want to # bound the # bias and variance of $\hat{p}_h(x)$. Keep in mind that we are trying # to estimate # a function of $x$, but the set of all possible probability # distribution # functions is extremely large and hard to manage. Thus, we need # to restrict our # attention to the following class of probability distribution of # so-called # Lipschitz functions, # # $$ # \mathscr{P}(L) = \lbrace p\colon \vert p(x)-p(y)\vert \le L \Vert x-y\Vert, # \forall \: x,y \rbrace # $$ # # Roughly speaking, these are the density # functions whose slopes (i.e., growth # rates) are bounded by $L$. # It turns out that the bias of the histogram # estimator is bounded in the # following way, # # $$ # \int\vert p(x)-\mathbb{E}(\hat{p}_h(x))\vert dx \le L h\sqrt{d} # $$ # # Similarly, the variance is bounded by the following, # # $$ # \mathbb{V}(\hat{p}_h(x)) \le \frac{C}{n h^d} # $$ # # for some constant $C$. Putting these two facts together means that the # risk is # bounded by, # # $$ # R(p,\hat{p}) = \int \mathbb{E}(p(x) -\hat{p}_h(x))^2 dx \le L^2 h^2 d + # \frac{C}{n h^d} # $$ # # This upper bound is minimized by choosing # # $$ # h = \left(\frac{C}{L^2 n d}\right)^\frac{1}{d+2} # $$ # # In particular, this means that, # # $$ # \sup_{p\in\mathscr{P}(L)} R(p,\hat{p}) \le C_0 # \left(\frac{1}{n}\right)^{\frac{2}{d+2}} # $$ # # where the constant $C_0$ is a function of $L$. There is a theorem # [[wasserman2004all]](#wasserman2004all) that shows this bound in tight, which # basically means # that the histogram is a really powerful probability density # estimator for # Lipschitz functions with risk that goes as # $\left(\frac{1}{n}\right)^{\frac{2}{d+2}}$. Note that this class of functions # is not necessarily smooth because the Lipschitz condition admits # non-smooth # functions. While this is a reassuring result, we typically do # not know which # function class (Lipschitz or not) a particular probability # belongs to ahead of # time. Nonetheless, the rate at which the risk changes with # both dimension $d$ # and $n$ samples would be hard to understand without this # result. # [Figure](#fig:nonparametric_001) shows the probability distribution # function of # the $\beta(2,2)$ distribution compared to computed histograms for # different # values of $n$. The box plots on each of the points show how the # variation in # each bin of the histogram reduces with increasing $n$. The risk # function # $R(p,\hat{p})$ above is based upon integrating the squared difference # between # the histogram (as a piecewise function of $x$) and the probability # distribution # function. # # **Programming Tip.** # # The following snippet is the main element of # the code for [Figure](#fig:nonparametric_001). # In[2]: def generate_samples(n,ntrials=500): phat = np.zeros((nbins,ntrials)) for k in range(ntrials): d = rv.rvs(n) phat[:,k],_=histogram(d,bins,density=True) return phat # The code uses the `histogram` function from Numpy. # To be consistent with the # risk function $R(p,\hat{p})$, we have to make sure # the `bins` keyword argument # is formatted correctly using a sequence of # bin-edges instead of just a single # integer. Also, the `density=True` keyword # argument normalizes the histogram # appropriately so that the comparison between # it and the probability distribution # function of the simulated beta distribution # is correctly scaled. # # # #
# #

The box plots on # each of the points show how the variation in each bin of the histogram reduces # with increasing $n$.

# # # # # # ## Kernel Smoothing # # We can extend our methods # to other function classes using kernel functions. # A one-dimensional smoothing # kernel is a smooth function $K$ with # the following properties, # # $$ # \begin{align*} # \int K(x) dx &= 1 \\\ # \int x K(x) dx &= 0 \\\ # 0< \int x^2 K(x) # dx &< \infty \\\ # \end{align*} # $$ # # For example, $K(x)=I(x)/2$ is the boxcar kernel, where $I(x)=1$ # when $\vert # x\vert\le 1$ and zero otherwise. The kernel density estimator is # very similar to # the histogram, except now we put a kernel function on every # point as in the # following, # # $$ # \hat{p}(x)=\frac{1}{n}\sum_{i=1}^n \frac{1}{h^d} K\left(\frac{\Vert # x-X_i\Vert}{h}\right) # $$ # # where $X\in \mathbb{R}^d$. [Figure](#fig:nonparametric_002) shows an # example of # a kernel density estimate using a Gaussian kernel function, # $K(x)=e^{-x^2/2}/\sqrt{2\pi}$. There are five data points shown by the # vertical # lines in the upper panel. The dotted lines show the individual $K(x)$ # function # at each of the data points. The lower panel shows the overall kernel # density # estimate, which is the scaled sum of the upper panel. # # There is an important # technical result in [[wasserman2004all]](#wasserman2004all) that # states that # kernel density estimators are minimax in the sense we # discussed in the maximum # likelihood the section [ch:stats:sec:mle](#ch:stats:sec:mle). In # broad strokes, # this means that the analogous risk for the kernel # density estimator is # approximately bounded by the following factor, # # $$ # R(p,\hat{p}) \lesssim n^{-\frac{2 m}{2 m+d}} # $$ # # for some constant $C$ where $m$ is a factor related to bounding # the derivatives # of the probability density function. For example, if the second # derivative of # the density function is bounded, then $m=2$. This means that # the convergence # rate for this estimator decreases with increasing dimension # $d$. # # # #
# #

The upper panel shows the individual # kernel functions placed at each of the data points. The lower panel shows the # composite kernel density estimate which is the sum of the individual functions # in the upper panel.

# # # # # # ### Cross-Validation # # As a practical matter, # the tricky part of the kernel density estimator (which # includes the histogram as # a special case) is that we need to somehow compute # the bandwidth $h$ term using # data. There are several rule-of-thumb methods that # for some common kernels, # including Silverman's rule and Scott's rule for # Gaussian kernels. For example, # Scott's factor is to simply compute $h=n^{ # -1/(d+4) }$ and Silverman's is $h=(n # (d+2)/4)^{ (-1/(d+4)) }$. Rules of # this kind are derived by assuming the # underlying probability density # function is of a certain family (e.g., Gaussian), # and then deriving the # best $h$ for a certain type of kernel density estimator, # usually equipped # with extra functional properties (say, continuous derivatives # of a # certain order). In practice, these rules seem to work pretty well, # especially for uni-modal probability density functions. Avoiding these # kinds of # assumptions means computing the bandwidth from data directly and that is where # cross validation comes in. # # Cross-validation is a method to estimate the # bandwidth from the data itself. # The idea is to write out the following # Integrated Squared Error (ISE), # # $$ # \begin{align*} # \textnormal{ISE}(\hat{p}_h,p)&=\int (p(x)-\hat{p}_h(x))^2 # dx\\\ # &= \int \hat{p}_h(x)^2 dx - 2\int p(x) # \hat{p}_h dx + \int p(x)^2 dx # \end{align*} # $$ # # The problem with this expression is the middle term [^last_term], # [^last_term]: The last term is of no interest because we are # only interested in # relative changes in the ISE. # # $$ # \int p(x)\hat{p}_h dx # $$ # # where $p(x)$ is what we are trying to estimate with $\hat{p}_h$. The # form of # the last expression looks like an expectation of $\hat{p}_h$ over the # density of # $p(x)$, $\mathbb{E}(\hat{p}_h)$. The approach is to # approximate this with the # mean, # # $$ # \mathbb{E}(\hat{p}_h) \approx \frac{1}{n}\sum_{i=1}^n \hat{p}_h(X_i) # $$ # # The problem with this approach is that $\hat{p}_h$ is computed using # the same # data that the approximation utilizes. The way to get around this is # to split # the data into two equally sized chunks $D_1$, $D_2$; and then compute # $\hat{p}_h$ for a sequence of different $h$ values over the $D_1$ set. Then, # when we apply the above approximation for the data ($Z_i$) in the $D_2$ set, # # $$ # \mathbb{E}(\hat{p}_h) \approx \frac{1}{\vert D_2\vert}\sum_{Z_i\in D_2} # \hat{p}_h(Z_i) # $$ # # Plugging this approximation back into the integrated squared error # provides # the objective function, # # $$ # \texttt{ISE}\approx \int \hat{p}_h(x)^2 dx-\frac{2}{\vert # D_2\vert}\sum_{Z_i\in D_2} \hat{p}_h(Z_i) # $$ # # Some code will make these steps concrete. We will need some tools from # Scikit- # learn. # In[3]: from sklearn.model_selection import train_test_split from sklearn.neighbors.kde import KernelDensity # The `train_test_split` function makes it easy to split and # keep track of the # $D_1$ and $D_2$ sets we need for cross validation. Scikit-learn # already has a # powerful and flexible implementation of kernel density estimators. # To compute # the objective function, we need some # basic numerical integration tools from # Scipy. For this example, we # will generate samples from a $\beta(2,2)$ # distribution, which is # implemented in the `stats` submodule in Scipy. # In[4]: import numpy as np np.random.seed(123456) # In[5]: from scipy.integrate import quad from scipy import stats rv= stats.beta(2,2) n=100 # number of samples to generate d = rv.rvs(n)[:,None] # generate samples as column-vector # **Programming Tip.** # # The use of the `[:,None]` in the last line formats the # Numpy array returned by # the `rvs` function into a Numpy vector with a column # dimension of one. This is # required by the `KernelDensity` constructor because # the column dimension is # used for different features (in general) for Scikit- # learn. Thus, even though we # only have one feature, we still need to comply with # the structured input that # Scikit-learn relies upon. There are many ways to # inject the additional # dimension other than using `None`. For example, the more # cryptic, `np.c_`, or # the less cryptic `[:,np.newaxis]` can do the same, as can # the `np.reshape` # function. # # # # The next step is to split the data into two # halves and loop over # each of the $h_i$ bandwidths to create a separate kernel # density estimator # based on the $D_1$ data, # In[6]: train,test,_,_=train_test_split(d,d,test_size=0.5) kdes=[KernelDensity(bandwidth=i).fit(train) for i in [.05,0.1,0.2,0.3]] # **Programming Tip.** # # Note that the single underscore symbol in Python refers to # the last evaluated # result. the above code unpacks the tuple returned by # `train_test_split` into # four elements. Because we are only interested in the # first two, we assign the # last two to the underscore symbol. This is a stylistic # usage to make it clear # to the reader that the last two elements of the tuple are # unused. # Alternatively, we could assign the last two elements to a pair of dummy # variables that we do not use later, but then the reader skimming the code may # think that those dummy variables are relevant. # # # # The last step is to loop over # the so-created kernel density estimators # and compute the objective function. # In[7]: for i in kdes: f = lambda x: np.exp(i.score_samples(x)) f2 = lambda x: f([[x]])**2 print('h=%3.2f\t %3.4f'%(i.bandwidth,quad(f2,0,1)[0] -2*np.mean(f(test)))) # **Programming Tip.** # # The lambda functions defined in the last block are # necessary because # Scikit-learn implements the return value of the kernel density # estimator as a # logarithm via the `score_samples` function. The numerical # quadrature function # `quad` from Scipy computes the $\int \hat{p}_h(x)^2 dx$ part # of the objective # function. # In[8]: get_ipython().run_line_magic('matplotlib', 'inline') # In[9]: from __future__ import division from matplotlib.pylab import subplots fig,ax=subplots() xi = np.linspace(0,1,100)[:,None] for i in kdes: f=lambda x: np.exp(i.score_samples(x)) f2 = lambda x: f(x)**2 _=ax.plot(xi,f(xi),label='$h$='+str(i.bandwidth)) _=ax.set_xlabel('$x$',fontsize=28) _=ax.set_ylabel('$y$',fontsize=28) _=ax.plot(xi,rv.pdf(xi),'k:',lw=3,label='true') _=ax.legend(loc=0) ax2 = ax.twinx() _=ax2.hist(d,20,alpha=.3,color='gray') _=ax2.axis(ymax=50) _=ax2.set_ylabel('count',fontsize=28) fig.tight_layout() fig.savefig('fig-statistics/nonparametric_003.png') # # #
# #

Each line above is a # different kernel density estimator for the given bandwidth as an approximation # to the true density function. A plain histogram is imprinted on the bottom for # reference.

# # # # # # Scikit-learn has many more advanced tools to automate this kind # of # hyper-parameter (i.e., kernel density bandwidth) search. To utilize these # advanced tools, we need to format the current problem slightly differently by # defining the following wrapper class. # In[10]: class KernelDensityWrapper(KernelDensity): def predict(self,x): return np.exp(self.score_samples(x)) def score(self,test): f = lambda x: self.predict(x) f2 = lambda x: f([[x]])**2 return -(quad(f2,0,1)[0]-2*np.mean(f(test))) # This is tantamount to reorganizing the above previous code # into functions that # Scikit-learn requires. Next, we create the # dictionary of parameters we want to # search over (`params`) below # and then start the grid search with the `fit` # function, # In[11]: from sklearn.model_selection import GridSearchCV params = {'bandwidth':np.linspace(0.01,0.5,10)} clf = GridSearchCV(KernelDensityWrapper(), param_grid=params,cv=2) clf.fit(d) print (clf.best_params_) # The grid search iterates over all the elements in the `params` # dictionary and # reports the best bandwidth over that list of parameter values. # The `cv` keyword # argument above specifies that we want to split the data # into two equally-sized # sets for training and testing. We can # also examine the values of the objective # function for each point # on the grid as follow, # In[12]: clf.cv_results_['mean_test_score'] # Keep in mind that the grid search examines multiple folds for cross # validation # to compute the above means and standard deviations. Note that there # is also a # `RandomizedSearchCV` in case you would rather specify a distribution # of # parameters instead of a list. This is particularly useful for searching very # large parameter spaces where an exhaustive grid search would be too # computationally expensive. Although kernel density estimators are easy to # understand and have many attractive analytical properties, they become # practically prohibitive for large, high-dimensional data sets. # # ## Nonparametric # Regression Estimators # # Beyond estimating the underlying probability density, we # can use nonparametric # methods to compute estimators of the underlying function # that is generating the # data. Nonparametric regression estimators of the # following form are known as # linear smoothers, # # $$ # \hat{y}(x) = \sum_{i=1}^n \ell_i(x) y_i # $$ # # To understand the performance of these smoothers, # we can define the risk as the # following, # # $$ # R(\hat{y},y) = \mathbb{E}\left( \frac{1}{n} \sum_{i=1}^n # (\hat{y}(x_i)-y(x_i))^2 \right) # $$ # # and find the best $\hat{y}$ that minimizes this. The problem with # this metric # is that we do not know $y(x)$, which is why we are trying to # approximate it with # $\hat{y}(x)$. We could construct an estimation by using the # data at hand as in # the following, # # $$ # \hat{R}(\hat{y},y) =\frac{1}{n} \sum_{i=1}^n (\hat{y}(x_i)-Y_i)^2 # $$ # # where we have substituted the data $Y_i$ for the unknown function # value, # $y(x_i)$. The problem with this approach is that we are using the data # to # estimate the function and then using the same data to evaluate the risk of # doing # so. This kind of double-dipping leads to overly optimistic estimators. # One way # out of this conundrum is to use leave-one-out cross validation, wherein # the # $\hat{y}$ function is estimated using all but one of the data pairs, # $(X_i,Y_i)$. Then, this missing data element is used to estimate the above # risk. # Notationally, this is written as the following, # # $$ # \hat{R}(\hat{y},y) =\frac{1}{n} \sum_{i=1}^n (\hat{y}_{(-i)}(x_i)-Y_i)^2 # $$ # # where $\hat{y}_{(-i)}$ denotes computing the estimator without using # the # $i^{th}$ data pair. Unfortunately, for anything other than relatively small # data # sets, it quickly becomes computationally prohibitive to use leave-one-out # cross # validation in practice. We'll get back to this issue shortly, but let's # consider # a concrete example of such a nonparametric smoother. # # ## Nearest Neighbors # Regression #
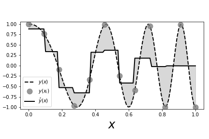
# # The simplest possible # nonparametric regression method is the $k$-nearest # neighbors regression. This is # easier to explain in words than to write out in # math. Given an input $x$, find # the closest one of the $k$ clusters that # contains it and then return the mean of # the data values in that cluster. As a # univariate example, let's consider the # following *chirp* waveform, # # $$ # y(x)=\cos\left(2\pi\left(f_o x + \frac{BW x^2}{2\tau}\right)\right) # $$ # # This waveform is important in high-resolution radar applications. # The $f_o$ is # the start frequency and $BW/\tau$ is the frequency slope of the # signal. For our # example, the fact that it is nonuniform over its domain is # important. We can # easily create some data by sampling the # chirp as in the following, # In[13]: from numpy import cos, pi xi = np.linspace(0,1,100)[:,None] xin = np.linspace(0,1,12)[:,None] f0 = 1 # init frequency BW = 5 y = np.cos(2*pi*(f0*xin+(BW/2.0)*xin**2)) # We can use this data to construct a simple nearest neighbor # estimator using # Scikit-learn, # In[14]: from sklearn.neighbors import KNeighborsRegressor knr=KNeighborsRegressor(2) knr.fit(xin,y) # **Programming Tip.** # # Scikit-learn has a fantastically consistent interface. The # `fit` function above # fits the model parameters to the data. The corresponding # `predict` function # returns the output of the model given an arbitrary input. We # will spend a lot # more time on Scikit-learn in the machine learning chapter. The # `[:,None]` part # at the end is just injecting a column dimension into the array # in order to # satisfy the dimensional requirements of Scikit-learn. # In[15]: from matplotlib.pylab import subplots fig,ax=subplots() yi = cos(2*pi*(f0*xi+(BW/2.0)*xi**2)) _=ax.plot(xi,yi,'k--',lw=2,label=r'$y(x)$') _=ax.plot(xin,y,'ko',lw=2,ms=11,color='gray',alpha=.8,label='$y(x_i)$') _=ax.fill_between(xi.flat,yi.flat,knr.predict(xi).flat,color='gray',alpha=.3) _=ax.plot(xi,knr.predict(xi),'k-',lw=2,label='$\hat{y}(x)$') _=ax.set_aspect(1/4.) _=ax.axis(ymax=1.05,ymin=-1.05) _=ax.set_xlabel(r'$x$',fontsize=24) _=ax.legend(loc=0) fig.set_tight_layout(True) fig.savefig('fig-statistics/nonparametric_004.png') # # #
# #

The dotted line shows the chirp # signal and the solid line shows the nearest neighbor estimate. The gray circles # are the sample points that we used to fit the nearest neighbor estimator. The # shaded area shows the gaps between the estimator and the unsampled chirp.

# # # # [Figure](#fig:nonparametric_004) shows the sampled signal (gray # circles) against # the values generated by the nearest neighbor estimator (solid # line). The dotted # line is the full unsampled chirp signal, which increases in # frequency with $x$. # This is important for our example because it adds a # non-stationary aspect to # this problem in that the function gets progressively # wigglier with increasing # $x$. The area between the estimated curve and the # signal is shaded in gray. # Because the nearest neighbor estimator uses only two # nearest neighbors, for each # new $x$, it finds the two adjacent $X_i$ that # bracket the $x$ in the training # data and then averages the corresponding $Y_i$ # values to compute the estimated # value. That is, if you take every adjacent pair # of sequential gray circles in # the Figure, you find that the horizontal solid line # splits the pair on the # vertical axis. We can adjust the number of # nearest neighbors by changing the # constructor, # In[16]: knr=KNeighborsRegressor(3) knr.fit(xin,y) # In[17]: fig,ax=subplots() _=ax.plot(xi,yi,'k--',lw=2,label=r'$y(x)$') _=ax.plot(xin,y,'ko',lw=2,ms=11,color='gray',alpha=.8,label='$y(x_i)$') _=ax.fill_between(xi.flat,yi.flat,knr.predict(xi).flat,color='gray',alpha=.3) _=ax.plot(xi,knr.predict(xi),'k-',lw=2,label='$\hat{y}(x)$') _=ax.set_aspect(1/4.) _=ax.axis(ymax=1.05,ymin=-1.05) _=ax.set_xlabel(r'$x$',fontsize=24) _=ax.legend(loc=0) fig.set_tight_layout(True) fig.savefig('fig-statistics/nonparametric_005.png') # which produces the following corresponding [Figure](#fig:nonparametric_005). # # #
# #

This is the same as # [Figure](#fig:nonparametric_004) except that here there are three nearest # neighbors used to build the estimator.

# # # # # # For this # example, [Figure](#fig:nonparametric_005) shows that with # more nearest neighbors # the fit performs poorly, especially towards the end of # the signal, where there # is increasing variation, because the chirp is not # uniformly continuous. # # Scikit- # learn provides many tools for cross validation. The following code # sets up the # tools for leave-one-out cross validation, # In[18]: from sklearn.model_selection import LeaveOneOut loo=LeaveOneOut() # The `LeaveOneOut` object is an iterable that produces a set of # disjoint indices # of the data --- one for fitting the model (training set) and # one for evaluating # the model (testing set). The next block loops over the # disjoint sets of # training and test indicies iterates provided by the `loo` # variable to evaluate # the estimated risk, which is accumulated in the `out` # list. # In[19]: out=[] for train_index, test_index in loo.split(xin): _=knr.fit(xin[train_index],y[train_index]) out.append((knr.predict(xi[test_index])-y[test_index])**2) print( 'Leave-one-out Estimated Risk: ',np.mean(out),) # The last line in the code above reports leave-one-out's estimated # risk. # Linear smoothers of this type can be rewritten in using the following matrix, # # $$ # \mathscr{S} = \left[ \ell_i(x_j) \right]_{i,j} # $$ # # so that # # $$ # \hat{\mathbf{y}} = \mathscr{S} \mathbf{y} # $$ # # where $\mathbf{y}=\left[Y_1,Y_2,\ldots,Y_n\right]\in \mathbb{R}^n$ # and $\hat{ # \mathbf{y} # }=\left[\hat{y}(x_1),\hat{y}(x_2),\ldots,\hat{y}(x_n)\right]\in # \mathbb{R}^n$. # This leads to a quick way to approximate leave-one-out cross # validation as the # following, # # $$ # \hat{R}=\frac{1}{n}\sum_{i=1}^n\left(\frac{y_i-\hat{y}(x_i)}{1-\mathscr{S}_{i,i}}\right)^2 # $$ # # However, this does not reproduce the approach in the code above # because it # assumes that each $\hat{y}_{(-i)}(x_i)$ is consuming one fewer # nearest neighbor # than $\hat{y}(x)$. # # We can get this $\mathscr{S}$ matrix from the `knr` object # as in the following, # In[20]: _= knr.fit(xin,y) # fit on all data S=(knr.kneighbors_graph(xin)).todense()/float(knr.n_neighbors) # The `todense` part reformats the sparse matrix that is # returned into a regular # Numpy `matrix`. The following shows a subsection # of this $\mathcal{S}$ matrix, # In[21]: print(S[:5,:5]) # The sub-blocks show the windows of the the `y` data that are being # processed by # the nearest neighbor estimator. For example, # In[22]: print(np.hstack([knr.predict(xin[:5]),(S*y)[:5]]))#columns match # Or, more concisely checking all entries for approximate equality, # In[23]: np.allclose(knr.predict(xin),S*y) # which shows that the results from the nearest neighbor # object and the matrix # multiply match. # # **Programming Tip.** # # Note that because we formatted the # returned $\mathscr{S}$ as a Numpy matrix, we # automatically get the matrix # multiplication instead of default element-wise # multiplication in the `S*y` term. # ## Kernel Regression # # For estimating the probability density, we started with # the histogram and moved # to the more general kernel density estimate. Likewise, # we can also extend # regression from nearest neighbors to kernel-based regression # using the # *Nadaraya-Watson* kernel regression estimator. Given a bandwidth # $h>0$, the # kernel regression estimator is defined as the following, # # $$ # \hat{y}(x)=\frac{\sum_{i=1}^n K\left(\frac{x-x_i}{h}\right) Y_i}{\sum_{i=1}^n # K \left( \frac{x-x_i}{h} \right)} # $$ # # Unfortunately, Scikit-learn does not implement this # regression estimator; # however, Jan Hendrik Metzen makes a compatible # version available on # `github.com`. # In[24]: import sys sys.path.append('../src-statistics') xin = np.linspace(0,1,20)[:,None] y = cos(2*pi*(f0*xin+(BW/2.0)*xin**2)).flatten() # In[25]: from kernel_regression import KernelRegression # This code makes it possible to internally optimize over the bandwidth # parameter # using leave-one-out cross validation by specifying a grid of # potential bandwidth # values (`gamma`), as in the following, # In[26]: kr = KernelRegression(gamma=np.linspace(6e3,7e3,500)) kr.fit(xin,y) # [Figure](#fig:nonparametric_006) shows the kernel estimator (heavy # black line) # using the Gaussian kernel compared to the nearest neighbor # estimator (solid # light black line). As before, the data points are shown as # circles. # [Figure](#fig:nonparametric_006) shows that the kernel estimator can # pick out # the sharp peaks that are missed by the nearest neighbor estimator. # # # #
# #

The heavy black line is the Gaussian # kernel estimator. The light black line is the nearest neighbor estimator. The # data points are shown as gray circles. Note that unlike the nearest neighbor # estimator, the Gaussian kernel estimator is able to pick out the sharp peaks in # the training data.

# # # # # # Thus, the difference between nearest neighbor # and kernel estimation is that the # latter provides a smooth moving averaging of # points whereas the former provides # a discontinuous averaging. Note that kernel # estimates suffer near the # boundaries where there is mismatch between the edges # and the kernel # function. This problem gets worse in higher dimensions because # the data # naturally drift towards the boundaries (this is a consequence of the # *curse of # dimensionality*). Indeed, it is not possible to simultaneously # maintain local # accuracy (i.e., low bias) and a generous neighborhood (i.e., low # variance). One # way to address this problem is to create a local polynomial # regression using # the kernel function as a window to localize a region of # interest. For example, # # $$ # \hat{y}(x)=\sum_{i=1}^n K\left(\frac{x-x_i}{h}\right) (Y_i-\alpha - \beta # x_i)^2 # $$ # # and now we have to optimize over the two linear parameters $\alpha$ # and # $\beta$. This method is known as *local linear regression* # [[loader2006local]](#loader2006local), # [[hastie2013elements]](#hastie2013elements). Naturally, this can be # extended to # higher-order polynomials. Note that these methods are not yet # implemented in # Scikit-learn. # In[27]: fig,ax=subplots() #fig.set_size_inches((12,4)) _=ax.plot(xi,kr.predict(xi),'k-',label='kernel',lw=3) _=ax.plot(xin,y,'o',lw=3,color='gray',ms=12) _=ax.plot(xi,yi,'--',color='gray',label='chirp') _=ax.plot(xi,knr.predict(xi),'k-',label='nearest') _=ax.axis(ymax=1.1,ymin=-1.1) _=ax.set_aspect(1/4.) _=ax.axis(ymax=1.05,ymin=-1.05) _=ax.set_xlabel(r'$x$',fontsize=24) _=ax.set_ylabel(r'$y$',fontsize=24) _=ax.legend(loc=0) fig.savefig('fig-statistics/nonparametric_006.png') # ## Curse of Dimensionality # # # # # # # The so-called curse of # dimensionality occurs as we move into higher and higher # dimensions. The term was # coined by Bellman in 1961 while he was studying # adaptive control processes. # Nowadays, the term is vaguely refers to anything # that becomes more complicated # as the number of dimensions increases # substantially. Nevertheless, the concept # is useful for recognizing # and characterizing the practical difficulties of high- # dimensional analysis and # estimation. # # Consider the volume of an $d$-dimensional # sphere of radius $r$, # # $$ # V_s(d,r)=\frac{\pi ^{d/2} r^d}{\Gamma \left(\frac{d}{2}+1\right)} # $$ # # Further, consider the sphere $V_s(d,1/2)$ enclosed by an $d$ # dimensional unit # cube. The volume of the cube is always equal to one, but # $\lim_{d\rightarrow\infty} V_s(d,1/2) = 0$. What does this mean? It means that # the volume of the cube is pushed away from its center, where the embedded # hypersphere lives. Specifically, the distance from the center of the cube to # its vertices in $d$ dimensions is $\sqrt{d}/2$, whereas the distance from the # center of the inscribing sphere is $1/2$. This diagonal distance goes to # infinity as $d$ does. For a fixed $d$, the tiny spherical region at the center # of the cube has many long spines attached to it, like a hyper-dimensional sea # urchin or porcupine. # # Another way to think about this is to consider the # $\epsilon>0$ thick peel of the # hypersphere, # # $$ # \mathcal{P}_{\epsilon} =V_s(d,r) - V_s(d,r-\epsilon) # $$ # # Then, we consider the following limit, # # #
# # $$ # \begin{equation} # \lim_{d\rightarrow\infty}\mathcal{P}_{\epsilon} # =\lim_{d\rightarrow\infty} V_s(d,r)\left(1 - # \frac{V_s(d,r-\epsilon)}{V_s(d,r)}\right) # \label{_auto1} \tag{1} # \end{equation} # $$ # # #
# # $$ # \begin{equation} \ # =\lim_{d\rightarrow\infty} V_s(d,r)\left(1 -\lim_{d\rightarrow\infty} # \left(\frac{r-\epsilon}{r}\right)^d\right) # \label{_auto2} \tag{2} # \end{equation} # $$ # # #
# # $$ # \begin{equation} \ # =\lim_{d\rightarrow\infty} V_s(d,r) # \label{_auto3} \tag{3} # \end{equation} # $$ # # So, in the limit, the volume of the $\epsilon$-thick peel # consumes the volume # of the hypersphere. # # What are the consequences of this? For methods that rely on # nearest # neighbors, exploiting locality to lower bias becomes intractable. For # example, suppose we have an $d$ dimensional space and a point near the # origin we # want to localize around. To estimate behavior around this # point, we need to # average the unknown function about this point, but # in a high-dimensional space, # the chances of finding neighbors to # average are slim. Looked at from the # opposing point of view, suppose # we have a binary variable, as in the coin- # flipping problem. If we have # 1000 trials, then, based on our earlier work, we # can be confident # about estimating the probability of heads. Now, suppose we # have 10 # binary variables. Now we have $2^{ 10 }=1024$ vertices to estimate. # If # we had the same 1000 points, then at least 24 vertices would not # get any data. # To keep the same resolution, we would need 1000 samples # at each vertex for a # grand total of $1000\times 1024 \approx 10^6$ # data points. So, for a ten fold # increase in the number of variables, # we now have about 1000 more data points to # collect to maintain the # same statistical resolution. This is the curse of # dimensionality. # # Perhaps some code will clarify this. The following code # generates samples in # two dimensions that are plotted as points in # [Figure](#fig:curse_of_dimensionality_001) with the inscribed circle in two # dimensions. Note that for $d=2$ dimensions, most of the points are contained # in # the circle. # In[28]: import numpy as np v=np.random.rand(1000,2)-1/2. # In[29]: from matplotlib.patches import Circle from matplotlib.pylab import subplots fig,ax=subplots() fig.set_size_inches((5,5)) _=ax.set_aspect(1) _=ax.scatter(v[:,0],v[:,1],color='gray',alpha=.3) _=ax.add_patch(Circle((0,0),0.5,alpha=.8,lw=3.,fill=False)) fig.savefig('fig-statistics/curse_of_dimensionality_001.pdf') # # #
#

Two dimensional scatter of points randomly and independently uniformly # distributed in the unit square. Note that most of the points are contained in # the circle. Counter to intuition, this does not persist as the number of # dimensions increases.

# # # # The next code block describes the core computation in # [Figure](#fig:curse_of_dimensionality_002). For each of the dimensions, we # create a set of uniformly distributed random variates along each dimension # and # then compute how close each $d$ dimensional vector is to the origin. # Those that # measure one half are those contained in the hypersphere. The # histogram of each # measurment is shown in the corresponding panel in the # [Figure](#fig:curse_of_dimensionality_002). The dark vertical line shows the # threshold value. Values to the left # of this indicate the population that are # contained in the hypersphere. Thus, # [Figure](#fig:curse_of_dimensionality_002) # shows that as $d$ increases, # fewer points are contained in the inscribed # hypersphere. The following # code paraphrases the content of # [Figure](#fig:curse_of_dimensionality_002). # In[30]: fig,ax=subplots() for d in [2,3,5,10,20,50]: v=np.random.rand(5000,d)-1/2. ax.hist([np.linalg.norm(i) for i in v]) # In[31]: siz = [ 2,3,5,10,20,50 ] fig,axs=subplots(3,2,sharex=True) fig.set_size_inches((10,6)) for ax,k in zip(axs.flatten(),siz): v=np.random.rand(5000,k)-1/2. _=ax.hist([np.linalg.norm(i) for i in v],color='gray',density=True); _=ax.vlines(0.5,0,ax.axis()[-1]*1.1,lw=3) _=ax.set_title('$d=%d$'%k,fontsize=20) _=ax.tick_params(labelsize='small',top=False,right=False) _=ax.spines['top'].set_visible(False) _=ax.spines['right'].set_visible(False) _=ax.spines['left'].set_visible(False) _=ax.yaxis.set_visible(False) _=ax.axis(ymax=3.5) fig.set_tight_layout(True) fig.savefig('fig-statistics/curse_of_dimensionality_002.pdf') # # #
# #

Each panel shows the histogram # of lengths of uniformly distributed $d$ dimensional random vectors. The # population to the left of the dark vertical line are those that are contained in # the inscribed hypersphere. This shows that fewer points are contained in the # hypersphere with increasing dimension.

# # # # # # ## # Nonparametric Tests # # # Determining whether or not two sets of observations derive # from the same # underlying probability distribution is an important problem. The # most popular # way to do this is with a standard t-test, but that requires # assumptions about # normality that may be hard to justify, which leads to # nonparametric methods can # get at this questions without such assumptions. # # Let # $V$ and $W$ be continuous random variables. The variable # $V$ is *stochastically # larger* than $W$ if, # # $$ # \mathbb{P}(V\ge x) \ge \mathbb{P}(W\ge x) # $$ # # for all $x\in \mathbb{R}$ with strict inequality for at least one # $x$. The term # *stochastically smaller* means the obverse of this. For example, # the black line # density function shown in [Figure](#fig:nonparametric_tests_001) is # stochastically larger than the gray one. # In[32]: import numpy as np from scipy import stats from matplotlib.pylab import subplots fig,ax=subplots() xi = np.linspace(0,2,100) _=ax.plot(xi,stats.norm(1,0.25).pdf(xi),lw=3,color='k') _=ax.plot(xi,stats.beta(2,4).pdf(xi),lw=3,color='gray') _=ax.spines['top'].set_visible(0) _=ax.spines['right'].set_visible(0) _=ax.tick_params(labelsize='medium',top=False,right=False) ax.set_aspect(1/2.5) fig.savefig('fig-statistics/nonparametric_tests_001.png') # # #
# #

The black line density function # is stochastically larger than the gray one.

# # # # # # ### The Mann-Whitney-Wilcoxon Test # # The Mann-Whitney-Wilcoxon Test approaches the # following alternative hypotheses # # * $H_0$ : $F(x) = G(x)$ for all $x$ versus # * $H_a$ : $F(x) \ge G(x)$, $F$ stochastically greater than $G$. # # Suppose we have # two data sets $X$ and $Y$ and we want to know if they are drawn # from the same # underlying probability distribution or if one is stochastically # greater than the # other. There are $n_x$ elements in $X$ and $n_y$ elements in # $Y$. If we combine # these two data sets and rank them, then, under the null # hypothesis, any data # element should be as likely as any other to be assigned # any particular rank. # that is, the combined set $Z$, # # $$ # Z = \lbrace X_1,\ldots,X_{n_x}, Y_1,\ldots,Y_{n_y} \rbrace # $$ # # contains $n=n_x+n_y$ elements. Thus, any assignment of $n_y$ ranks # from the # integers $\lbrace 1,\ldots,n \rbrace$ to $\lbrace Y_1,\ldots,Y_{n_y} # \rbrace$ # should be equally likely (i.e., $\mathbb{P}={ \binom{n}{n_y} }^{-1}$). # Importantly, this property is independent of the $F$ distribution. # # That is, we # can define the $U$ statistic as the following, # # $$ # U_X =\sum_{i=1}^{n_x}\sum_{j=1}^{n_y}\mathbb{I}(X_i\ge Y_j) # $$ # # where $\mathbb{I}(\cdot)$ is the usual indicator function. For an # interpretation, this counts the number of times that elements of $Y$ outrank # elements of $X$. For example, let us suppose that $X=\lbrace 1,3,4,5,6 # \rbrace$ and $Y=\lbrace 2,7,8,10,11 \rbrace$. We can get a this in one move # using Numpy broadcasting, # In[33]: import numpy as np x = np.array([ 1,3,4,5,6 ]) y = np.array([2,7,8,10,11]) U_X = (y <= x[:,None]).sum() U_Y = (x <= y[:,None]).sum() print (U_X, U_Y) # Note that # # $$ # U_X+U_Y =\sum_{i=1}^{n_x}\sum_{j=1}^{n_y} \mathbb{I}(Y_i\ge # X_j)+\mathbb{I}(X_i\ge Y_j)= n_x n_y # $$ # # because $\mathbb{I}(Y_i\ge X_j)+\mathbb{I}(X_i\ge Y_j)=1$. We # can verify this # in Python, # In[34]: print ((U_X+U_Y) == len(x)*len(y)) # Now that we can compute the $U_X$ statistic, we have to characterize it. Let us # consider $U_X$. If $H_0$ is true, then $X$ and $Y$ are identically distributed # random variables. Thus all $\binom{n_x+n_y}{n_x}$ allocations of the # $X$-variables in the ordered combined sample are equally likely. Among these, # there are $\binom{n_x+n_y-1}{n_x}$ allocations have a $Y$ variable # as the # largest observation in the combined sample. For these, omitting this # largest # observation does not affect $U_X$ because it would not have been # counted anyway. # The other $\binom{n_x+n_y-1}{n_x-1}$ allocations have # an element of $X$ as the # largest observation. Omitting this observation # reduces $U_X$ by $n_y$. # # With # all that, suppose $N_{n_x,n_y}(u)$ be the number of allocations of # $X$ and $Y$ # elements that result in $U_X=u$. Under $H_0$ situation # of equally likely # outcomes, we have # # $$ # p_{n_x, n_y}(u) = # \mathbb{P}(U_X=u)=\frac{N_{n_x,n_y}(u)}{\binom{n_x+n_y}{n_x}} # $$ # # From our previous discussion, we have the recursive relationship, # # $$ # N_{n_x,n_y}(u) = N_{n_x,n_y-1}(u) + N_{n_x-1,n_y}(u-n_y) # $$ # # After dividing all of this by $\binom{n_x+n_y}{n_x}$ and using the # $p_{n_x, # n_y}(u)$ notation above, we obtain the following, # # $$ # p_{n_x, n_y}(u) = \frac{n_y}{n_x+n_y} p_{n_x,n_y-1}(u)+\frac{n_x}{n_x+n_y} # p_{n_x-1,n_y}(u-n_y) # $$ # # where $0\le u\le n_x n_y$. To start this recursion, we need the # following # initial conditions, # # $$ # \begin{eqnarray*} # p_{0,n_y}(u_x=0) & = & 1 \\ # p_{0,n_y}(u_x>0) & = & 0 \\ # p_{n_x,0}(u_x=0) & = & 1 \\ # p_{n_x,0}(u_x>0) & = & 0 # \end{eqnarray*} # $$ # # To see how this works in Python, # In[35]: def prob(n,m,u): if u<0: return 0 if n==0 or m==0: return int(u==0) else: f = m/float(m+n) return (f*prob(n,m-1,u) + (1-f)*prob(n-1,m,u-m)) # These are shown in [Figure](#fig:nonparametric_tests_002) and # approach a normal # distribution for large $n_x,n_y$, with the following # mean and variance, # # #
# # $$ # \begin{eqnarray} # \mathbb{E}(U) & = & \frac{n_x n_y}{2} \\ # \mathbb{V}(U) & = & # \frac{n_x n_y (n_x+n_y+1)}{12} # \end{eqnarray} # \label{eq:ustatmv} \tag{4} # $$ # # The variance becomes more complicated when there are ties. # In[36]: fig,axs=subplots(2,2) fig.tight_layout() ax=axs[0,0] ax.tick_params(axis='both', which='major', labelsize=10) _=ax.stem([prob(2,2,i) for i in range(2*2+1)],linefmt='k-',markerfmt='ko',basefmt='k-') _=ax.set_title(r'$n_x=%d,n_y=%d$'%(2,2),fontsize=14) ax=axs[0,1] ax.tick_params(axis='both', which='major', labelsize=10) _=ax.stem([prob(4,2,i) for i in range(4*2+1)],linefmt='k-',markerfmt='ko',basefmt='k-') _=ax.set_title(r'$n_x=%d,n_y=%d$'%(4,2),fontsize=14) ax=axs[1,0] ax.tick_params(axis='both', which='major', labelsize=10) _=ax.stem([prob(6,7,i) for i in range(6*7+1)],linefmt='k-',markerfmt='ko',basefmt='k-') _=ax.set_title(r'$n_x=%d,n_y=%d$'%(6,7),fontsize=14) ax=axs[1,1] ax.tick_params(axis='both', which='major', labelsize=10) _=ax.stem([prob(8,12,i) for i in range(8*12+1)],linefmt='k-',markerfmt='ko',basefmt='k-') _=ax.set_title(r'$n_x=%d,n_y=%d$'%(8,12),fontsize=14) fig.savefig('fig-statistics/nonparametric_tests_002.png') # # #
# #

The normal approximation to # the distribution improves with increasing $n_x, n_y$.

# # # # # # ### # Example # # We are trying to determine whether or not one network configuration is # faster # than another. We obtain the following round-trip times for each of the # networks. # In[37]: X=np.array([ 50.6,31.9,40.5,38.1,39.4,35.1,33.1,36.5,38.7,42.3 ]) Y=np.array([ 28.8,30.1,18.2,38.5,44.2,28.2,32.9,48.8,39.5,30.7 ]) # Because there are too few elements to use the # `scipy.stats.mannwhitneyu` # function (which internally uses the normal # approximation to the U-statistic), we # can use our custom function above, but # first we need to compute the $U_X$ # statistic using Numpy, # In[38]: U_X = (Y <= X[:,None]).sum() # For the p-value, we want to compute the probability that the observed # $U_X$ # statistic at least as great as what was observed, # In[39]: print(sum(prob(10,10,i) for i in range(U_X,101))) # This is close to the usual five percent p-value threshold so it is # possible at # a slightly higher threshold to conclude that the two sets of # samples do *not* # originate from the same underlying distribution. Keep in mind # that the usual # five percent threshold is just a guideline. Ultimately, it is up # to the analyst # to make the call. # # ### Proving Mean and Variance for U-Statistic # # To prove # Equation [4](#eq:ustatmv), we assume there are no ties. # One way to get at the # result $\mathbb{E}(U)= n_x n_y/2$, # # $$ # \mathbb{E}(U_Y) = \sum_j\sum_i\mathbb{P}(X_i \leq Y_j) # $$ # # because $\mathbb{E}(\mathbb{I}(X_i\leq Y_j))=\mathbb{P}(X_i \leq # Y_j)$. # Further, because all the subscripted $X$ and $Y$ variables are drawn # independently from the same distribution, we have # # $$ # \mathbb{E}(U_Y) = n_x n_y \mathbb{P}(X \leq Y) # $$ # # and also, # # $$ # \mathbb{P}(X \leq Y) + \mathbb{P}(X \ge Y) =1 # $$ # # because those are the two mutually exclusive conditions. Because the # $X$ # variables and $Y$ variables are drawn from the same distribution, we have # $\mathbb{P}(X \leq Y) = \mathbb{P}(X \ge Y)$, which means $ \mathbb{P}(X \leq # Y)=1/2$ and therefore $\mathbb{E}(U_Y)= n_x n_y /2$. Another way to get the # same result, is to note that, as we showed earlier, $U_X+U_Y = n_x n_y $. # Then, # taking the expectation of both sides noting that # $\mathbb{E}(U_X)=\mathbb{E}(U_Y)=\mathbb{E}(U)$, gives # # $$ # 2 \mathbb{E}(U) = n_x n_y # $$ # # which gives $\mathbb{E}(U)=n_x n_y /2$. # # Getting the variance # is trickier. To # start, we compute the following, # # $$ # \mathbb{E}(U_X U_Y) = \sum_i \sum_j \sum_k \sum_l \mathbb{P}( X_i\ge Y_j # \land X_k \le Y_l ) # $$ # # Of these terms, we have $\mathbb{P}( Y_j \le X_i\le Y_j)=0$ because these # are # continuous random variables. Let's consider the terms of the following type, # $\mathbb{P}( Y_i \le X_k \le Y_l)$. To reduce the notational noise, let's # rewrite this as # $\mathbb{P}( Z \le X \le Y)$. Writing this out gives # # $$ # \mathbb{P}( Z \le X \le Y) = \int_{\mathbb{R}} \int_Z^\infty # (F(Y)-F(Z))f(y)f(z)dy dz # $$ # # where $F$ is the cumulative density function and $f$ is the # probability density # function ($dF(x)/dx = f(x)$). Let's break this up term by # term. Using some # calculus for the term, # # $$ # \int_Z^\infty F(Y)f(y)dy = \int_{F(Z)}^1 F dF\ = \frac{1}{2}\left(1-F(Z) # \right) # $$ # # Then, integrating out the $Z$ variable from this result, we obtain the # following, # # $$ # \int_{\mathbb{R}} \frac{1}{2}\left(1-\frac{F(Z)^2}{2}\right) f(z) dz = # \frac{1}{3} # $$ # # Next, we compute, # # $$ # \begin{eqnarray*} # \int_{\mathbb{R}} F(Z) \int_Z^\infty f(y) dy f(z) dz # &=&\int_{\mathbb{R}} (1-F(Z)) F(Z) f(z) dz \\ # &=&\int_{\mathbb{R}} (1-F) F dF =\frac{1}{6} # \end{eqnarray*} # $$ # # Finally, assembling the result, we have # # $$ # \mathbb{P}( Z \le X \le Y) = \frac{1}{3}- \frac{1}{6} = \frac{1}{6} # $$ # # Also, terms like $\mathbb{P}(X_k\ge Y_i \land X_m \le Y_i) = # \mathbb{P}(X_m\le # Y_i \le X_k)=1/6$ by the same reasoning. That leaves the # terms like # $\mathbb{P}(X_k\ge Y_i\land X_m\le Y_l)=1/4$ because of mutual # independence and # $\mathbb{P}(X_k\ge Y_i)=1/2$. Now that we have all the # terms, we have to # assemble the combinatorics to get the final answer. # # There are $ n_y (n_y -1) # n_x + n_x (n_x -1) n_y $ terms of type $\mathbb{P}( # Y_i \le X_k \le Y_l)$. # There are $ n_y (n_y -1) n_x (n_x -1)$ terms like # $\mathbb{P}(X_k\ge Y_i\land # X_m\le Y_l)$. Putting this all together, # this means that # # $$ # \mathbb{E}(U_X U_Y) = \frac{n_x n_y(n_x+n_y-2)}{6}+\frac{n_x # n_y(n_x-1)(n_y-1)}{4} # $$ # # To assemble the $\mathbb{E}(U^2)$ result, we need to appeal to our earlier # result, # # $$ # U_X+U_Y = n_x n_y # $$ # # Squaring both sides of this and taking the expectation gives, # # $$ # \mathbb{E}(U_X^2) + 2 \mathbb{E}(U_X U_Y)+\mathbb{E}(U_Y^2) = n_x^2 n_y^2 # $$ # # Because $\mathbb{E}(U_X^2)=\mathbb{E}(U_X^2)=\mathbb{E}(U)$, we # can simplify # this as the following, # # $$ # \begin{eqnarray*} # \mathbb{E}(U^2) &=& \frac{n_x^2 n_y^2 - 2 \mathbb{E}(U_X # U_Y)}{2}\\ # \mathbb{E}(U^2) &=& \frac{n_x n_y (1+n_x +n_y +3 n_x n_y )}{12} # \end{eqnarray*} # $$ # # Then, since $\mathbb{V}(U) = \mathbb{E}(U^2)- \mathbb{E}(U)^2$, we # finally have # # $$ # \mathbb{V}(U) = \frac{n_x n_y (1+ n_x +n_y )}{12} # $$ # # # # # #